suların bir miktar durulmasını bekleyeceğim endekste günlük grafikte halen bir düzeltme olmadı.
$GARAN 8.26 desteği vardı 8.28'den ufak bir tepki geldi, bakalım ne yapacaklar
@cany $ARBUL stop seviyesini yazdım, risk minimize gibi birşey fakat. isteyen alır sadece bir uyarıydı. takas derinlik takibini yapamıyorum
$ARBUL grafiğine bakan varmı 1.63'ü kırmayı tekrar deneyebilir, stop noktası ise şimdiki fiyata çok yakın
hadi geçmiş olsun $GARANE 8.42'yi kıracak gibi :) güzel bir düzeltme yapabilir
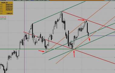
$XU100 tepkinin geldiği turuncu çizgilere dikkat. kanalları izleyin
$GARANE 8.30'dan gelen tepki izlemeye değer, fakat 8.43'ün üzerinde günlük kapanış yapması şart
$GARAN 8.43'ün üzerinde günlük kapanış yapması gerekli. şu anda %62 fibo yayına dokundu. endeks %50'de fakat tepki cılız
$GARAN %50 fibo seviyesine geldi halen cılız alımlar var. ne yapıyor bunlar böyle.79579 - 78846 dikkat. inş bu seviyeler kırılmaz
$ANELE'de geçen gün 1.30'da 900 bin civarı alıcı vardı. bakalım bu sefer ne yapacaklar. gün içerisinde derinlik atabilen olursa güzel olur
iPhone6 almayın, temiz (az kullanılmış) iPhone 5 bulmaya çalışın. şu anda fiyatları bir hayli düştü.
@cany dostum göstere göstere bunu yaptılar. piyasaların arada bir sert düşüşler yaparak, daha yüksek seviyelere ulaşmaları gerekebilir
@cany endeks için, omuz-baş-omuz formasyonuna çok benziyor, sence?
@cany boş vakit bulursan $ANELE derinlik göndermen mümkün mü? ve teknik olarak bu hisseyi nasıl görüyorsun? teşekkürler
@cany anele teknik analiz için ne diyorsun. kanal içerisinde tutunacak gibi mi? 1.31 ara desteğini deniyorlar
@PARADOK 2.20 seviyesini biraz kırarsa çıkacağım senetten, maliyet 2.24 kasmıyorum :)
$KOZAA 2.20 ve 2.21 den topluyorlar mı burada bayağı bir durdu. satış baskısı halen var farkındayım fakat alıp götürebilecek bir durum var m